Category: Album

  • Album F

    by Hla Min

    Updated : Sept 2025

    Forestry

    Forestry
    • U Kyi, father of Ko Htain Lin (RUBC Gold and Past Vice Captain) taught Forestry.
    • The Forestry students took field trips.

    Fresher

    Fresher Welcome
    • There were many Fresher Welcome Parties.
    • The photo shows an invitation for the Fresher Welcome Party hosted by the Dhatu Beda (Chemistry) Mi Tha Su.

    Freddie Ba Hli, Dr.

    Dr. F Ba Hli
    • He received his Sc.D. in EE from MIT
    • Served as Director General of UBARI (Union of Burma Applied Research Institute).
    • Retired as Advisor at the Ministry of National Planning.
    • Member of the UCC Advisory Board & external examiner at UCC.
    • Father : U Ba Hli was the first native Dean of Engineering. Credited for proposing “Twinning Program” with prestigious US Universities.
    Dr. F Ba Hli
    • Spouse : Daw Myint Thwe (GBNF) is the sister of Sayas U Tin U and U Ba Than (GBNF)
    • Daughter : Tin Tin Hlaing (ex-UCC)
    • Son : Tha Hlaing (ex-UCC) stood Joint First with Ko Thaung Tin in EC83.
    • Younger son : Min Thet Tun passed away in his mid-30s.

    Foreign Dignitaries

    • Several foreign leaders visited Burma.
    • Some were bestowed Honorary Degrees at Rangoon University.

    India

    • Nehru & Indira Gandhi
    Nehru and Nu

    Nehru & Indira Gandhi

    Nehru & Indira Gandhi

    United Nations

    • Daj Hammarskjold
    Daj Hammarskjold

    Israel

    • David Ben Gurion
    David Ben Gurion

    China

    • Chou En Lai
    Chou En Lai
    • FEARA
    • February
    • Final Journey
    • Food for thought
    • Fun with English
  • Album G

    by Hla Min

    Updated : Feb 2026

    Golden Jubilee

    • Rangoon University celebrated its Golden Jubilee in December 1970.
    • I was a volunteer for the “Zay Nay Yar Cha Htar Yay Committee” headed by Saya U Tun Hla Aung (Geography).
    • Saya Dr. Aung Gyi (Professor, Civil Engineering) and Saya U Thet Lwin (Burmese, Institute of Economics) were Chair and Secretary of a Committee. They had a reunion as Rector and Registrar of RIT.
    • Ah Nu Pyinnya Shins from RIT took part in the Entertainment with Swel Daw Yeik A Nyeint, Tabin Daing A Ka & Htee Yein.
    RU Golden Jubilee
    RIT Htee Yein

    There are other Golden Jubilees :

    • GJ of the new Education System introduced in 1964
    • GJ of Admission to University or Institute
    RIT GJ in 2014
    • GJ of Graduation from University or Institute
    69ers GJ in 2019

    Geology

    • Dr. Tha Hla received his doctorate from the UK. He served as Professor of Geology Department. He retired as Rector of the University of Rangoon.
    • His successors include Dr. Nyi Nyi, U Ba Than Haq and Dr. Maung Thein.

    Geology Sayas and Sayamas

    Dr. Tha Hla
    Dr. Nyi Nyi
    Geology 1978
    Dr. Maung Thein

    Geology Volleyball

    Geology Volleyball

    Graduation

    RIT Grads

    • RIT 69ers
    Tin Aung Win (M69) & his father
    M69 grads
    A69 grads

    Graduation Photos

    • In the early days, some quality photos had to be taken in Studios. The photo (taken at “Bayin Ma”) shows proud parents of a fresh graduate.
    Grad 1
    • It was customary to take photos at the “Full Dress Rehearsal” and in front of the Convocation Hall.
    Grad 2
    • Permits were issued to registered photographers to take photos during the Convocation. Maung Maung Nhyat made a fortune.
    Grad 3
    Grad 4

    Geography Sayas

    Geography Dept
    • L Dudley Stamp taught at LSE and RU.
    • Dr. Daw Thin Kyi was an early Burmese Sayama to receive a Doctorate from USA. An Alumnus donated Seed Money for her bust.
    Dr. Daw Thin Kyi
    • Dr. Maung Htoo : Professor
    • U Kyaw : Principal, Workers’ College; Rector, Institute of Education; Father of U Myo Nyunt (Harry, OPA) & Daw San San Kyaw (UCC)
    U Kyaw
    • U Win : Received Doctorate from USA; GIS; Water Resource

    Posts

    • Games
    • GBNF : Gone But Not Forgotten
    • Guardian
  • Album D

    by Hla Min

    Updated : Feb 2026

    Dagon Taya

    Dagon Taya
    Dagon Taya’s Book
    • Distinguished author
    • Reminisced his University Days

    Daj Hammarskjold

    Daj Hammarskjold (UNSG)
    • Second United Nations Secretary General (UNSG)
    • Succeeded Trygvie Lie as UNSG
    • Visited Burma
    • Perished in a plane crash during a UN Mission.
    • Succeeded by U Thant as UNSG

    David Ben Gurion

    David Ben Gurion
    • Founding member and first Prime Minister of Israel.
    • Awarded an honorary degree from Rangoon University.

    Diamond Jubilee

    RU Diamond Jubilee 1995
    • The RU Diamond Jubilee was celebrated in 1995.
    • Dr. Soe Win (IFL), Daw May Saw Lwin (Chemistry), Ko Aung Mon (YIT) and Ko Nyi Thet Lwin (IM1) were staying in the Main Campus, but affiliated with four different Universities and institutes

    First Day Cover and Stamps

    First Day Cover (RU Diamond Jubilee)
    50 Pyas Stamp (RU Diamond Jubilee)
    Two Kyats Stamp (RU Diamond Jubilee)

    Dora Than Aye

    Dora Than Aye
    • Vocalist
    • Journalist / Broadcaster
    • UN employee

    Dway

    Dway
    • YIT/YTU Graduate
    • Movie actor
    • Nephew of Kyaw Hein
    • D (Names)
    • Dana
    • Data
    • Daw
    • December
    • Din (Names)
    • Doctor
    • Dr.
  • Album C

    by Hla Min

    Updated : Feb 2026

    Cartoonists

    RIT Cartoonists
    • RIT is known for its cartoonists in general and “Cartoon Box” in particular.
    • Ko Myint Pe (M72) co-founded “Cartoon Box”. The Patrons were Saya U Khin Maung Phone Ko (C64, “Phone Ko”, Vietnam Cartoons) and Saya U Aung Myint (Pet69, “Kyant Ba Hone”, GBNF).
    Khin Maung Phone Ko
    Aung Myint
    • Aw Pi Kyeh (“Mann Bei”) served as Secretary of RIT Cartoonists Association and later as President of Myanmar Cartoonists Association.
    • The cartoonists compiled a special issue of “Selected RIT Cartoons” for SPZP-2012. They also published Cartoon Brochures for Shwe YaDu in 2014 and SPP-2016.

    Chancellor

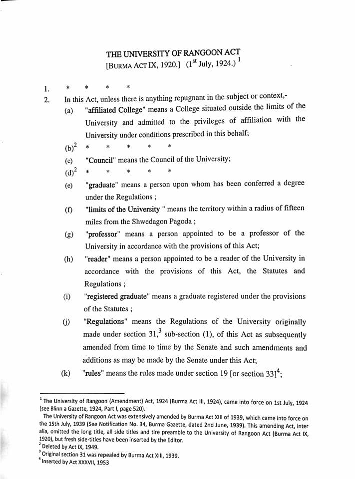
    • The Rangoon University Act of 1920 stated that roles of the Chancellor, Pro-Chancellor, Vice-Chancellor and Pro Vice-Chancellor.
    • The Prime Minister of the Union of Burma is also the Chancellor of Rangoon University.
    • The road leading to the RU Convocation Hall is called the Chancellor Road.
    College, Council (RU Act of 1920)
    Chancellor (RU Act of 1920)
    • Prime Minister U Nu gave the Chancellor’s speech at the Convocation of Rangoon University in November / December 1961.
    Chancellor Speech (1961)
    • For a period (especially citing Insecurity), the gates to the Chancellor Road were closed or closely guarded.
    • The Yar Pyae Ak Kyo (Pre-RU Centennial) began in December, 2019.
    • Some of the RU Centennial events for took place at the Convocation Hall, Recreation Center and the Universities’ Central Library.
    • Due to Covid-19 pandemic, there were often restrictions.
      Some events were recorded in the Campus, and broadcast later via Myanmar Ah Than.
    Chancellor Road

    Coup

    • Coup d’etat by the 17-man Revolutionary Council took place on March 2, 1962.
    • Commodore Than Pe (President of RUBC) was appointed Minister of Health and Education. He passed away shortly afterwards.
    • Colonel Hla Han succeeded Commodore Than Pe as Minister of Health and Education. He became Chair of the Rangoon University Council.
    Col. Hla Han

    Chou En Lai

    The Chinese Prime Minister visited Burma and took part in the Thingyan Festival.

    Chou En Lai

    Convocation

    • The Convocation is mostly held at the Convocation Hall.
    • Exceptions include the ad hoc Convocation ceremonies at Kyaikkasan and Aung San Stadium.
    • Some graduates had to wait a few years to attend their Convocation.
    Convocation Hall
    Convocation 1963
    63 – 64 – 65 at Kyaikkasan
    Convocation 1977

    Collegian

    • He was known as “Pa Pu”, “Nay Dun” and “Nay Win (B.A.)”.
    • Joined the Navy before attending RU.
    • Represented RU and Burma in Soccer.
    • U Chin Sein auditioned him for the leading role of Collegian (movie based on Zawana’s novel). He became known as “Collegian Nay Win”.
    Collegian Nay Win

    Cross Lake

    • Swimmers participate in the Cross Lake event held in the Inya Lakes.
    • The 2000 yard course runs from Dubern Beach to RUBC (Rangoon University Boat Club).
    • Nyunt Nyunt Tin posted a photo of her Gold Medal.
    • From RIT, the winners included Htay Aung (M69, Burma Selected for Water Polo)
    Cross Lake 1965
    • Census
    • Chemical Engineering
    • Chemistry
    • Chit Swe (Names)
    • Civil Engineering
    • Condolences
  • Album B

    by Hla Min

    Updated : Feb 2026

    Bogyoke Aung San

    Bogyoke Aung San 1
    Bogyoke Aung San 2
    Bogyoke Aung San 3
    • Attended Rangoon University and received B.A.
    • Took Law classes for a year before deciding to engage full time in politics.
    • Active in the RU Student Union. Served in various capacities (e.g. Secretary in his early days).
    • Chief Editor of Oway Magazine
      Expelled for not disclosing the author of “Hell Hound At Large”. His expulsion led to the RU Students’ Strike.
    Hell Hound At Large
    • Translated “Invictus” for Oway Magazine. Reprinted in the RU Golden Jubilee Magazine.
    Translation of Invictus
    • Brutally shot by assassins on 19th July, 1947.
    19 July

    Bo Aung Kyaw

    Bo Aung Kyaw
    • Victim of the police brutality.
    • He was posthumously named “Bo Aung Kyaw”.
    • Sparks Street was renamed “Bo Aung Kyaw Street”.
    • The following is an article which was first published by Nagani and reprinted in Oway Magazine.
    Bo Aung Kyaw

    Ba Maung
    (Sports Officer)

    Ba Maung
    • Under the then new Education System, Sports Officers were appointed for the various Universities and Institutes.
    • He was Soccer Selected for Burma. Sports Officer for RASU.
    • Other sports officers included
      U Thet Win (Diving) for the Institute of Economics and
      U Maung Maung (Soccer) for Rangoon Institute of Technology.

    Badminton

    RIT Badminton 1
    RIT Badminton 2
    • Saya U Yone Moe (Rector, GBNF)
    • Saya U Maung Maung Than (Chair, RIT Sports Council, GBNF)
    • Saya U Thein Lwin (President, RIT Badminton, GBNF)
    • Sai Kham Pan (Burma Selected, EP69), Ko Myint Sein (M69), Bishnu Shahi (EE69er) and team won the Inter-Institute Trophy
    Sai Kham Pan
    • Sai Kham Pan was Burma Champion in Men’s Doubles and No. (2) in Men’s Singles behind Kyi Nyunt

    Khin Maung Zaw (KMZ) wrote :

    There was another national-level badminton player from Textile, couple – if not more, junior to me. He also ran marathons. Unfortunately his name escaped me at this time. We used to hang out together at Sports Officer Ko Maung Maung’s office in those days.

    Bagyee Wai Soe & Bagyi Kan Thein

    Bagyee Wai Zoe
    Bagyi Kan Thein
    • Recreation Center hosted several indoor sports events.
    • There was a shop that sold post cards and paintings (e.g. by Bagyee Wai Soe)
    • There was a barber shop opened by Bagyee Kan Thein (an employee of the RU Students Union Building)

    B.Com

    • Bachelor degree offered by the Department of Commerce
    • The department was under the Faculty of Social Science, which became the Institute of Economics in 1964.
    • The RU Centennial Pages had photos of Commerce grads.
    B Com 1
    B Com 2

    BIT Social and Reading Club

    BIT Social and Reading Club
    • Saya U San Tun (M59) won Gold Medal and joined the Faculty of Engineering as Assistant Lecturer. He received Masters from MIT (Massachusetts Institute of Technology) in the USA.
    • Upon his return, he was promoted to Lecturer. Taught at BIT (Burma Institute of Technology) in the Gyogone Campus.
    • Served as Hall Tutor and as a member of the BIT Social and Reading Club.

    Botany

    • The following is a Badge for the Botany Department at the University of Rangoon.
    Botany Badge

    Burmese-English Dictionary

    Judson’s Burmese-English Dictionary
    • Reverend Judson and team compiled two dictionaries :
      Burmese- English Dictionary
      English-Burmese Dictionary
    • They also translated the Bible into Burmese

    Burmese Calendar

    Burmese Calendar
    • Wrote about the Burmese Calendar in the BAPS (Burmese American Professional Society) Newsletter, where I served as Contributing Editor.
    • Posted enhanced versions of the article in “RIT Alumni International Newsletter”
      and my web site hlamin.com

    Benny Tan (Yu Beng, M70)

    Benny and Angelina Tan
    • Received the “Let Phount Tat Thar” (Sharpshooter) award twice at UTC (University Training Corps).
    • After graduating with Mechanical Engineering in 1970, he moved to the USA.
    • Masters from University of California at Berkeley.
    • Had successful careers as a Professional Engineer and as an Entrepreneur.
    • After handing over Tan Enterprise to his son, he is enjoying world wide travel (when granted permission by his six grand children).
    • Founding member of RIT Alumni International which hosted the First RIT Grand Reunion and Saya Pu Zaw Pwe in San Francisco in October 2000. Designed the SPZP-2000 Banner and Mementos.
    • Multiple Golden Sponsor of SPZPs along with Ko Thaung Sein (Steeve Kay, EC70, GBNF).
    • His spouse Angelina was his personal Xerographic copier in his RIT days.
    • B (Names)
    • Bala (Strength)
    • Balance
    • BAPS
    • Ba Than (Names)
    • BEA
    • Bo / Boh (Names)
    • Boundary
    • Boxing
    • BRS
    • Burma’s Son
    • Burmese
    • Burmese Presidents
  • Album A

    by Hla Min

    Updated : Aug 2025

    Amyotha Aung Pwe Nay
    (National Day)

    • The First Rangoon University Students’ Strike took place on December 5, 1920 to protest the limitations of the Rangoon University Act of 1920.
    • The movement led to the establishment of Amyotha Kyaung (National School) and Amyotha Kaw Leik (National College).
    • The Burmese date — 10th Waning Day of Tazaung Mon Month in Burmese Era 1282 — is used for the Celebration of Ah Myo Tha Aung Pwe Nay.
    • There is a difference of 638 years in the Gregorian and Burmese Calendars. Note that the Gregorian New Year falls on January 1, while the Burmese New Year falls around April 17. A correction is needed for the period January 1 to April 17.
    • To convert from AD to BE, subtract 638.
      e.g. 1920 – 638 = 1282
    • To convert from BE to AD, add 638.
      e.g. 1282 + 638 = 1920
    • A commemorative stamp for the Golden Jubilee of Amyotha Aung Pwe Nay is shown below.
    Ah Myo Tha Nay Golden Jubilee Stamp

    Aung San

    • He was born on February 13, 1915.
    • His Zartar name (per his natal horoscope) was Htain Lin.
    • His formal name is Aung San (which rhymes with Aung Than : name of his elder brother).
    • Bogyoke Aung San led a Burmese delegation to London in 1947. He signed the Aung San – Atlee Agreement (Sar Choke).
    • He was assassinated on July 19, 1947 along with Ministers (Thakin Mya, Deedok U Ba Cho, Mahn Ba Khaing, Mongpawn Sawbwa Sao San Htun, U Ba Win U Razak), ICS U Ohn Maung and Yebaw Ko Dway.
    • Centennial Celebrations were held in 2015. I wrote “A-U-N-G S-A-N” for the Centennial Celebration held in the San Francisco Bay Area.
    Bogyoke Aung San in London, 1947

    Australia in 2016

    • In 2016, I visited Sydney, Australia to attend three gatherings : RIT Alumni, UCC Alumni, De La Salle Schools Alumni (mostly Paulians)
    • The Annual Dinner of Myanmar Engineers (mostly RIT alumni) was organized by Saya U Hla Myint (M65), Saya U Myo Win (M65) and the Executive Committee and members of MEAA (U “Henry” Thet Tun, U Sein Win and U Wint Khin Zaw). The attendees included Sayagyi D. Freddie Ba Hli (National Advisor for the Ministry of Planning, former DG of UBARI, GBNF). Sayas and sayamas who could not attend include U Thit (Metallurgy), U Maung Maung Win (M61) and Daw Yin Yin Mya (English). The spouses of several alumni are medical doctors.
    Gathering in Australia (2016)
    • Saya U Aung Zaw (UCC, CSO, ABAC, GBNF) and Ma Kyawt hosted a UCC Pu Zaw Pwe for Sayagyi Dr. Chit Swe (Founder of UCC, Pioneer of Computer Education and Application in Burma, GBNF) and Sayagyi Dr. Freddie Ba Hli (Board Member of UCC Project, GBNF).
    • Saya Dr. Thann Naing (Bonnie Kywe, SPHS 66, Geology 70) hosted a lunch gathering in the Olympic Park for the alumni of De La Salle Schools (e.g. St. Paul’s, St. Peter’s, St. Albert’s) in Burma. Attendees included Dr. Thane Oke Kyaw Myint (SPHS6) who flew in from Brisbane, Ko Myo Lwin (Stanley Saw, SPHS65, M71, New Zealand). The entertainer was U Pantra (Moe Ma Ka Sydney, Pattla expert).

    All Mechanical Gatherings

    • The first gathering was held in 2016. The Master of Ceremonies were U Hla Win and Daw Mar Mar Yee.
    • Annual gatherings were held in subsequent years.
    • The following is the invitation for the gathering in 2018 held at Dolphin Restaurant.
    All Mech Gathering Invitation 2018
    • The Gathering for 2019 was moved to a restaurant in Pyithu Yin Pyin near Shwe Dagon Pagoda. Attendees paid respect to Thet Kyee Sayas and Engineers (80+ years young).

    Allen Htay (C58, GBNF)

    • He joined the Civil Engineering Department, Faculty of Engineering in 1958 as an Assistant Lecturer.
    • Masters from Harvard University
    • Upon return to Burma, he was promoted to Lecturer.
    • Also studied in Netherlands.
    • Worked for UN project in Bangladesh.
    • Moved to USA.
    • Leader of the San Francisco Bay Area Alumni Group and President of RIT Alumni International.
    • Core organizer for SPZP-2000 (First RIT Grand Reunion and Saya Pu Zaw Pwe) in San Francisco, California in October 2000.
    • His article “Brother, can you spare US $500?” led to five Golden Sponsors and many donors — large and small.
    • He retired twice, but came out of retirement because his former students offered him jobs. He passed away while working for CalTrans (California Transportation).
    • In his memory, his spouse Daw Mu Mu Kin donated Saya’s books to YTU Library. She also provided financial aid to eligible YTU students.
    Saya Allen Htay

    Aung Moung (M73, GBNF)

    • U Ba Than (former Professor of Mechanical Engineering) suffered a great loss when Ko Aung Moung passed away.
    • Ko Aung Moung was a core volunteer for SPZPs, HMEE project, and several RIT-related activities.
    • He also volunteered for several monasteries. Many monks offered to come by themselves to the Final Journey at Yay Way.
    Aung Moung

    Aw Pi Kyeh

    • “RIT Cartoon Box” was founded by U Myint Pe (M72) with Saya U Khin Maung Phone Ko (“Phone Ko”, C65) and Saya U Aung Myint (“Kyant Ba Hone”, Pet 79) as Patrons.
    • Four (or more) generations of Cartoonists ran “RIT Cartoon Box”.
    • The Box was closed after 8-8-88.
    • A popular cartoonist was “Mann Bei”. He served as Secretary of RIT Cartoonists Association. Gained fame as “Aw Pi Kyeh”. Became President of Myanmar Cartoonists Association.
    • During his tour to USA, I met him twice : once in Northern California (at the beginning of his trip) and once in Southern California (at the end of the trip).
    Aw Pi Kyeh 1
    Aw Pi Kyeh 2

    Autographs

    There were at least two sets of autographs in the RU Centennial Facebook Group.

    • One posted by Hazel Kyaw Zaw (about her mother Daw Chit Swe’s autograph)
    • Another posted by Audrey Than (about her role models including UNSG U Thant)

    Aung Pyie
    (Khin Maung Myint, Writer)

    • For RU Centennial, there were posts about some notable Burmese / Myanmar authors, poets, academicians and politicians.
    • An example is provided below.
    Writer : Aung Pyae (Khin Maung Myint)

    Posts

    • Alumni
    • April
    • Associations
    • August
  • Album G

    Album G

    by Hla Min

    Updated : Feb 2026

    Golden Jubilee

    • Rangoon University celebrated its Golden Jubilee in December 1970.
    • I was a volunteer for the “Zay Nay Yar Cha Htar Yay Committee” headed by Saya U Tun Hla Aung (Geography).
    • Saya Dr. Aung Gyi (Professor, Civil Engineering) and Saya U Thet Lwin (Burmese, Institute of Economics) were Chair and Secretary of a Committee. They had a reunion as Rector and Registrar of RIT.
    • Ah Nu Pyinnya Shins from RIT took part in the Entertainment with Swel Daw Yeik A Nyeint, Tabin Daing A Ka & Htee Yein.
    RU Golden Jubilee
    RIT Htee Yein

    There are other Golden Jubilees :

    • GJ of the new Education System introduced in 1964
    • GJ of Admission to University or Institute
    RIT GJ in 2014
    • GJ of Graduation from University or Institute
    69ers GJ in 2019

    Geology

    • Dr. Tha Hla received his doctorate from the UK. He served as Professor of Geology Department. He retired as Rector of the University of Rangoon.
    • His successors include Dr. Nyi Nyi, U Ba Than Haq and Dr. Maung Thein.

    Geology Sayas and Sayamas

    Dr. Tha Hla
    Dr. Nyi Nyi
    Geology 1978
    Dr. Maung Thein

    Geology Volleyball

    Geology Volleyball

    Graduation

    RIT Grads

    • RIT 69ers
    Tin Aung Win (M69) & his father
    M69 grads
    A69 grads

    Graduation Photos

    • In the early days, some quality photos had to be taken in Studios. The photo (taken at “Bayin Ma”) shows proud parents of a fresh graduate.
    Grad 1
    • It was customary to take photos at the “Full Dress Rehearsal” and in front of the Convocation Hall.
    Grad 2
    • Permits were issued to registered photographers to take photos during the Convocation. Maung Maung Nhyat made a fortune.
    Grad 3
    Grad 4

    Geography Sayas

    Geography Dept
    • L Dudley Stamp taught at LSE and RU.
    • Dr. Daw Thin Kyi was an early Burmese Sayama to receive a Doctorate from USA. An Alumnus donated Seed Money for her bust.
    Dr. Daw Thin Kyi
    • Dr. Maung Htoo : Professor
    • U Kyaw : Principal, Workers’ College; Rector, Institute of Education; Father of U Myo Nyunt (Harry, OPA) & Daw San San Kyaw (UCC)
    U Kyaw
    • U Win : Received Doctorate from USA; GIS; Water Resource

    Posts

    • Games
    • GBNF : Gone But Not Forgotten
    • Guardian
  • Album — H

    Album — H

    by Hla Min

    Updated : July 2025

    Hall of Fame

    • In 2017, I was listed in the “Hall of Fame” of Toastmasters International District 101 for (a) Distinguished Toastmaster (b) Triple Crown (c) Leadership Excellence (d) Advanced Leader Silver
    Hall of Fame 1
    • Joined District 4 (an early District) of Toastmasters International. It grew too big and was reorganized as District 4 and District 101 (for clubs that are mostly located near Highway 101).
    Hall of Fame
    • Received the Distinguished Toastmaster (DTM) award.
    DTM 1
    DTM 2
    • Won the “Triple Crown” for completing three awards between May and November of 2017.

    Halin

    Halin
    • Visited Halin (inhabited by the Pyu) near Shwe Bo.
    • Halin was declared as UN Heritage Site.
    • Not easy to go to Halin by the supposedly “short cut route” especially with ongoing repairs to the narrow road.
    • The Museum provided pamphlets with Pyu alphabet & Halin Pyu Stone Inscription

    Hell-Hound At Large

    Hell Hound At Large
    • Ko Aung San (Editor of Oway Magazine) was expelled for not disclosing the author of the satirical article “The Hell-Hound At Large”.
    Ko Aung San
    • The authorities knew that Oway U Mya was the author, but they wanted to take action against Ko Aung San.

    HMEE

    HMEE Book
    • The History of Myanmar Engineering Education book was published in 2012.
    • Saya U Aung Hla Tun (National Literary Award Winner) was the Lead Author of the Project.
    HMEE Team
    • The early supporters of the Project include U Ba Than (Retired Professor of Mechanical Engineering), U Soe Paing (My mentor at RIT and UCC) and U Thaw Kaung (Retired Chief Librarian of Universities’ Central Library).
    U Ba Than
    U Soe Paing
    U Thaw Kaung
    • U Ohn Khine (M70) and I compiled the CD Supplement for the Book.
    U Ohn Khine
    U Hla Min
    CD Supplement
    • U Soe Paing & U Ohn Khine translated Section One and summarized Section Two of the Book.

    Htee Yein

    Htee 1
    Htee 2
    Htee 3
    • In 1970, RIT took part in the “Entertainment Program” for the Rangoon University Shwe YaDu (ရွှေရတု Golden Jubilee).
    • Htee Yein ထီးယိမ်း was a hit at the Shwe YaDu Celebrations.
    • Swel Daw Yeik Ah Nyeint စွယ်တော်ရိပ်အငြိမ့် was also a feature.
    • The terms “Swel Daw” and “Swel Daw Yeik” became known as synonyms for RIT in general and the Engineering Institutions in Burma in particular.

    Htay Aung (M69)

    Htay Aung & Than Than
    Htay Aung 1
    Htay Aung 2
    Htay Aung 3
    • Won most of Free Style events (100m, 200m, 400m, 800m, 1500m) and Cross Lake at RIT and All Institute Competitions
    • Was Secretary of the RIT Swimming Association
    • Represented Burma in Water Polo at the Fifth SEAP Games in 1969
    • Spouse : Than Than (Burma, SEAP & Asian Games Champion Sprinter)
    • Regular attendee at RIT 69er Monthly Breakfast Gatherings at Taw Win Hnin Si (Royal Rose) Restaurant.
    • Aging (notably hard of hearing) has caught up with the former Swimming Champ.

    Htin Aung, Dr. (C69)

    Htin Aung 1
    Htin Aung 2
    • Retired as Professor of Civil Engineering from YIT / YTU.
    • Represented RIT in Chinlon.
    • Badminton & Soccer player.
    • Several Dr. Htin Aung including the first native Rector of Rangoon University, and a Physics Professor (Sacred Heart 1957).

    Htin Lin

    Htin Lin
    • Pen name of U Thein Maung.
    • National Literary Award Winner
    • Gave English Tuition with U Khin Maung Latt
    • Eldest son : Soe Myint (GBNF) graduated with Triple Maths, but chose journalism. He was Chief Editor of the Guardian. He published my poems and Computer articles.
    • Younger sons : Soe Win (EC70, UCC, PTC), Kyaw Zaw (EC72, High School Luyechun, DCA, GBNF) and Khin Zaw (UCC).
    • His great grand son (son of U Khin Maung Zaw & Dr. Daw Khin Khin Latt) is named Htin Lin.

    Posts

    Starting with H

    • H (Names)
    • Han Sein
    • Handbook
    • Harmony
    • Health Care Fund (HCF)
    • Heart Felt Thanks
    • Heritage
    • High Concentration. Activity (HCA)
    • High School Final (HSF)
    • High Jump
    • History
    • Hla Min (Lifelong Learner)
    • HMEE
    • Holidays
    • How Time Flies
    • Hunger Eradication
  • Album — 69er

    Album — 69er

    by Hla Min

    Updated : June 2025

    Highlights

    Guinea Pigs of Edu System

    • Last 7th Std Government exam in 1960
    • First HSF Only exam in 1962; Those from Rangoon had to take exams in March & August
    • Matric Only exam in 1963; My older brother entered Yankin College in 1957 after passing 9th Std (HSF & Matric) exam.
    • Attended last ever I.Sc(A)
    • Admitted to 2nd BE in Nov 1964
    • Graduated with BE (a few with BArch) in 1969

    Long After Graduation

    • First major Reunion in 1999
    • Anniversary Reunions in 2009, 2014 and 2019
    • Except for pause during pandemic, Monthly Breakfast Gathering (usually at Taw Win Hnin Si)

    Jara, Byadi & Marana

    • Over 40% are GBNF
    • Remaining 69ers try to be active physically, mentally & spiritually.
    • Two are Sayadaws: Ashin Ukkamsa & Ashin Pannagavesaka
    • Many hosted and/or attended Monthly Breakfast Gatherings.
    • One gathering had a record of nine hosts.
    • Gifts — 69er towel, 69er mug, 69er cap, 69er hat, 69er pen, medicine — are given at selected gatherings; Albert & company gave out towels; Millie was represented by her cousin; Kyaw Zin was represented by his elder daughter; Fred gave some gifts via 69ers that visited USA (e.g Kyaw Nyunt)
    69er towel
    69er mug
    69er cap
    69er cap
    • Some donated and/ or joined virtually (via Zoom or Messenger).

    Will go on Sharing & Charing

    until the Last 69er

    • The following gives an account of 69ers & their gatherings.
    • Need input, feedback & suggestions to have a comprehensive album.

    Donors & Volunteers

    • Aung Min (M) is Chair of 69er Health Care Fund. He & his team organized 69er events. They have updated Contact List several times.
    Aung Min (Right)
    • Myint Myint, Ivan & Sein Myint are major donors. Others (e.g Mehm Aye Chan) make recurring and lump sum donations.
    Myint Myint
    Ivan (Right)
    Sein Myint (2nd from Right)
    • There are many unsung heros. Despite having limitations due to an injury at work, Ko Shwe drove long distance to collect donations.
    Ko Shwe (3rd from Left)
    • Others visited 69ers in hospitals & homes (e.g to aid health care or offer Kutho donation).

    1964 – 65

    • About 320 were admitted to 2nd BE in Nov 1964
    • Most graduated in 1969.
    • Luyechun program started in 1964 for high school & middle school. The program was expanded in 1965 for Universities & Institutes.
    2nd BE (1964 – 65)
    LYC (Summer of 65)

    See also

    • From BIT to YTU
    • Luyechun
    • Memories of a 69er
    • RIT Days

    1966 – 69

    Tennis

    • Inter-Institute Trophy winners
    • Kyaw Nyunt (M, GBNF)
    • Than Htay (EE)
    RIT Tennis
    Kyaw Nyunt (2nd from Left)

    Badminton

    • Inter-Institute Trophy winners
    • Sai Kham Pan (EP) : Burma Selected
    • Bishnu (EP, GBNF)
    • Myint Sein (M, GBNF)
    RIT Badminton 1
    RIT Badminton 2
    Sai Kham Pan

    Track & Field

    • Aung Gyi Shwe (EP, GBNF) : Secretary
    • Margaret (Khin Than Myint Tin)
    • Myo Nyunt (C) : Joint Secretary — for Henry Khin Maung Lay (T68)
    Aung Gyi Shwe (Standing Left)
    Myo Nyunt

    Swimming & Water Polo

    • Htay Aung (M) : Burma Selected; Fifth SEAP Games
    • Hla Kyaing (M)
    • Han Sein (C, GBNF)
    • Jimmy Kyin (T, GBNF)
    • Sein Myint (EP)
    • Swan Kong (?)
    • Win Maung (Lake)
    • Moe Hein (ChE)
    Htay Aung
    RIT Crosslake Swimmers

    Rowing

    • Chit Po Po (M, GBNF)
    • Hla Min (EC) : Treasurer & Vice Captain of RUBC
    • Sein Myint (EP)
    • Win Maung (Lake)
    • Win Naing (Dicky, M, GBNF) : recruited David, Fred, Ohn Mg & Sein Tun
    Chit Po Po
    Win Naing (Dicky)
    Sein Myint, Hla Min, Tin Myint

    Table Tennis

    • Tin Myint (John, M, GBNF) : also Luyechun for 4th BE
    Tin Myint

    Basketball

    • Han Sein (C, GBNF)
    • Soe Win (EP, GBNF) : RIT Captain
    • Tommy (EP, GBNF)
    • Lyo Kyin Sein

    Body Building & Weightlifting

    • Aung Gyi Shwe (EP, GBNF) : also T&F, Soccer
    • Jimmy Kyin (T, GBNF) : also Swimming & Water Polo
    • Khin Win (EP, GBNF)

    Chinlon

    • Tin Shein (M)
    • Htin Aung (C)

    Thaing

    • Tin Tun (M, GBNF) : Secretary
    • Tun Aung Gyaw (EC) : Jt. Secretary

    Hiking & Mountaineering

    • Win Lwin (M)

    Engg Associations

    • Hla Myint Thein (C) — Secretary
    • Myo Khin (C) — Secretary
    • Mehm Ye Win (EC) — Secretary
    • Hla Min (EC) — Secretary & Hlyat Sit Sar Saung
    • Aye Lwin (M) — Secretary & RIT Annual Magazine
    Myo Khin (3rd), Hla Myint Thein (Right)

    Ah Nu Pyinnya Ah Thin

    • Taing Oke (ChE) — Zat Saya
    • Kyaw Htin (T) — Lu Shwin Daw
    • Than Myaing (M) — Violin
    • Tin Maung Aye (M) — Accordion
    Taing Oke
    Floor : Robert, Han Sein, Aye Lwin; Seated : Alice, David, Uzin, Tin Mg Aye, Albert, Aung Min; Standing : Lake, Oscar, Harry, Khin Ng Gyi, Allan, Mehm Aye Chan, Walter. Win Lwin, Ngwe Tun, Myo Nyunt, Aung Gyi Shwe

    Writers

    • Aung Myint (Pet) : Kyant Ba Hone (Cartoon); Tech & Edu Notes
    • Taing Oke : Yin Maung; National Literary Award
    • Tin Htut (Harry, M) : Mon Yu
    • Win Thein Zaw : Wai Lu
    Kyant
    Wai Lu

    69ers at Inya

    • Nay Win, Yee Pin, Khin Mg Gyi & Chit Po Po are GBNF
    69ers at Inya

    See also

    • Activities
    • Celebrations
    • Publications
    • RIT & Burma Selected
    • Sports

    EE69

    • See post with annotations by Thein Swe (GBNF, Luyechun for 3rd BE) & me
    EE69
    Ko Shwe (L), Thein Swe (R)

    Graduates

    • Mostly Mech
    • Aung Thu Yein (E), Kyaw Than (Met?), Nay Win (M), Khin Maung Gyi (M) & Toby (A) are some of the GBNF
    • Most worked for government and industry. Some joined the Faculty. A few worked for private & family business. Some went overseas.
    Grads
    A69

    See also

    • 69er — Memories
    • Then & Now
    • How Time Flies

    1970 – 1998

    • There were no formal Reunions.
    • Most were busy with their work and family.
    • In the mid 1990s, Danny discussed with some friends about a 69er Reunion.

    1999

    • 30th Anniversary of Graduation; See Danny’s post about the event
    • I started “RIT Alumni Newsletter”; See my posts
    Newsletter

    2000

    • First RIT Alumni Reunion and Saya Pu Zaw Pwe (SPZP-2000) in the SF Bay Area : Oct 29 – 30, 2000 ; See posts about SPZP-2000
    • I was an Organizer & Chief Editor of the special issue of “RIT Alumni Newsletter”
    • (First) Alumni Appreciation Award received at SPZP-2000; Also given to KMZ (webmaster) & Maurice (core organizer)
    • Tint Lwin (Danny, M), Tin Myint (John, M), Lyo Kyin Sein (Mabel, T), Mg Toung (Tom, EC) & Myo Khin (C) attended SPZP-2000. Danny came from Singapore. John & Mabel live in Union City, California. Tom came from Connecticut. Myo Khin & Winsome (C73) came from Japan.
    SPZP-2000 Organizers
    SPZP-2000 attendees

    2009

    • 40th Anniversary of Graduation; See post for the event
    • Group photos : Electrical, Mechanical, Civil, Textile, Chemical
    Electrical
    Mech
    Civil
    Textile & Chemical

    2014

    • 50th Anniversary of RIT; See post about the event
    • Pseudo Golden Jubilee for 69ers
    GJ of Admission

    2015

    • Myint Myint (C) hosted a Welcome Lunch Gathering at Western Park for Nyunt Nyunt Wai (Millie, T)
    Welcome Millie in 2015
    • Six 69ers at Ivan’s house. Ivan hosted annual RIT-UCC gathering for over a decade. Eventually, MASTAA was established with Ivan as CEO.

    2016

    • (Second) Alumni Appreciation Award at the Birthday Soon Kyway Gathering in August; Organized by Maurice Chee (M75); Most attendees from California
    Award 1
    • (Third) Appreciation Award at NorCal RITAA Annual Dinner in September
    Award 2
    • SPZP-2016
    • Gathering — Welcome Sein Myint & me; Farewell to Tint Lwin
    Gathering

    2017

    • Monthly Gatherings
    • Ad hoc Gatherings
    • Annual Gathering
    BFG 1

    2018

    • Monthly Gatherings
    • Ad hoc Gatherings
    • Annual Gatheting
    BFG 2017
    BFG 2018

    2019

    Golden Jubilee of Graduation

    • Home coming for Tin Tin (Ann)
    GJ

    2020 – 2021

    • SPZP-2000 canceled due to Pandemic
    • Several 69ers & family members succumbed to Covid
    • Gatherings put on hold

    2022

    December

    Tin Shwe

    2023

    August

    September 2023

    အလှူရှင်

    • ဦးငွေထွန်း၊
    • ဦးတင်ရှိန်၊
    • ဦးသန်းဝင်း၊
    • ဦးချမ်းငြိမ်း၊
    • ဒေါ်ခင်သန်းမြင့်တင်၊
    • ဦးစောမြင့်နိုင်၊
    • ဦးဖေဟန်ထွန်း
    • U Zaw Win (Thailand)
    • Albert Kyaw Min

    Dear RIT 69++friends

    ဖိတ်ကြားအပ်ပါတယ်

    September breakfast gathering သို့ မပျက်မကွက် ကြွရောက်ကြပါခင်ဗျား။

    တော်ဝင်နှင်းဆီ / ၂၄/၉/၂၀၂၃ (တနင်္ဂနွေ) ၊ ၇:၀၀ မှ ၈:၃၀ နာရီ မှာဆုံကြမယ်။

    ကိုငွေထွန်း၊ကိုသန်းဝင်း၊ကိုတင်ရှိန်၊ကိုစောမြင့်နိုင်၊ကိုဖေဟန်ထွန်း၊ကိုချမ်းငြိမ်း၊မာဂရက်၊Albertနှင့် ကိုဇော်ဝင်း(ထိုင်း) ပေါင်း ၉ ဦးတို့က အာဟာရ ဒါန ပြုကြပါမယ်။နီး/ဝေး/ပြည်ပ သူငယ်ချင်းများရဲ့ စေတနာပါ။ကြွလာချီးမြှင့်ဖို့ ထပ်မံတိုက်တွန်းပါရစေ။

    စားပြီးရင် ၉၃ နှစ်ပြည့် ဆရာ ဦးဘသန်းအား သွားရောက် ဂါရဝ ပြုပါမယ်။ဆရာနေကောင်းပါတယ် အပြော နဲ့ သတိ အားနည်းလာပြီ။အလှူငွေများကို နောက်ဆုံးအချိန်ထိ လက်ခံပေးသွားပါ့မယ်။လိုက်ပါလိုသူ အကန့်အသတ်မရှိပါ။

    2025

    June

    KMT
    KMT 2
    Roland, Oscar, Albert
    Four Young-at-heart
    Myo Nyunt

    Request

    • Please share your memories
    • Please add captions
    • Please provide corrections
    • မ ပြီး သေး သော ပန်း ချီ ကား


  • RU

    RU

    by Hla Min

    Updated : June 2025

    Convocation Speech in 1961

    • Prime Minister U Nu (RU Chancellor)
    Speech 1961

    Remembering the Student Life of Ko Aung San

    • Article in RU magazine
    Memories of Aung San

    Dr. Maung Maung Kha

    Saya Kha (Dr. Maung Maung Kha)
    • Longest tenured Rector
    • Rector : Rangoon University, Rangoon Arts & Science University and University of Distance Learning
    • Saya Kha Hall
    Saya Kha Hall
    • Spouse : Daw Khin Soe Tint (Sayama Ruby)
    • Son : Dr. Oak Soe Kha
    • Daughters : Maimee Kha, May Thi Kha, Dr. Myat Munn Kha

    Sayas Association in Sept 1988

    Saya Thutmagga

    Oway Magazine

    Oway Magazine
    • Published by Rangoon University Student Union-
    • Ko Aung San served as Editor
    Oway Magazine Committee

    Minthuwun

    • U Wun co-founded Khit San Sar Pay with U Sein Tin (Theikpan Maung Wa) & U Thein Han (Zaw Gyi)
    • Translation Department Head, RU
    • Lexicographer
    • Professor of Burmese, RU
    • Visiting Professor, Osaka University
    Minthuwun

    Selected Photos

    • Several were published in RU Centennial Facebook Pages
    RU Ah Nu Pyinnya Shin
    RU Artists
    RU Badge 1
    RU Badge 2
    RU Estate 1
    RU Estate 2
    Prome Hall Soccer
    Sagaing Road
    Shwe Bo Hall
    Inya Hall
    Yadanar Hall
    Yadanar Hall 1978
    Thit Pote 1
    Thit Pote 2
    SEAP Games 1969
    SEAP Games 1961
    Minthamee
    Saing Waing 1
    Saing Waing 2
    Philosophy (Workers’ College)
    Table Tennis
    Track and Field